The goal of the project “Innovative contact-based multibody model for noise and vibration prediction in high performance gears” is to create a new generation of simulation methodologies that enhance the design, efficiency, and acoustic behavior of gear transmissions. In order to reach its goal the project defines four interdependent meta-objectives, each representing a key frontier in gear dynamics modeling, and addressed through a collaborative matrix of theoretical development, numerical simulation, and experimental validation.
Objective 1: Advance Gear Modeling Through Hybrid Multibody Approaches
A primary objective is to develop advanced multibody (MUBO) simulation methodologies capable of accurately capturing the complex interactions in gear systems, particularly those related to flexibility and contact dynamics. Two complementary modeling strategies are pursued: the first is a pseudo-rigid body approach where each gear tooth is represented as rigid element connected by elastic joint; the second is based on component mode synthesis (CMS), using a reduced-order modal representation of elastic deformations.
Both approaches are designed to handle varying tooth geometries and misalignment conditions. By comparing and integrating these models, the project seeks to establish a validated and versatile simulation framework. The development involves substantial contributions from UNICUSANO, Tor Vergata, and the University of Genoa, leveraging their respective expertise in multibody dynamics and modal modeling.
Objective 2: Quantify and Manage Modeling Uncertainty in Gear Dynamics
Another critical goal is to incorporate uncertainty quantification into the gear simulation process. Reduced-order models, while computationally efficient, introduce epistemic uncertainties due to simplifications and incomplete parameter knowledge. The project addresses this challenge by embedding fuzzy arithmetic into the MUBO models, allowing parameters like stiffness and damping to be expressed as graded fuzzy variables.
This uncertainty-aware modeling strategy improves the reliability of predictions across a range of operating conditions, especially for high-speed, high-load scenarios. The fuzzy-enhanced models will be benchmarked against experimental data and high-fidelity FEM simulations. This objective is tackled through coordinated efforts, with UNICUSANO leading the uncertainty modeling, and active contributions from Tor Vergata and University of Genoa for model integration and validation.
Objective 3: Integrate Acoustic Prediction into Mechanical Simulations
To address increasing demands for quieter transmissions, the project aims to embed an acoustic analysis capability directly within the mechanical simulation framework. The focus is on developing an acoustic model based on the Equivalent Radiation Power (ERP) method, adapted for multibody systems that traditionally lack local deformation data.
By superimposing estimated vibrational behavior onto rigid-body motions, the ERP model can predict the sound pressure levels generated by meshing gear surfaces. This capability enables direct evaluation of the acoustic impact of design choices and operational conditions. Development and validation of this method involve a tight collaboration between UNICUSANO, Tor Vergata, and PoliMi, linking numerical modeling with experimental measurements.
Objective 4: Validate and Calibrate Models Through Experimental Campaigns
Model validation is central to the project, requiring a large-scale experimental campaign on custom-built test benches capable of simulating realistic operational scenarios. These tests will measure transmission error, vibration amplitudes, and acoustic emissions across various gear types, alignment settings, and load cases.
Politecnico di Milano leads the experimental activities, but the testing process is integrated into every phase of model development. Data generated from the tests will be used not only to calibrate model parameters but also to evaluate the robustness of fuzzy-enhanced predictions and acoustic models. This cross-validation ensures that all simulation outputs align with physical reality, reinforcing model credibility for future industrial applications.
This set of meta-objectives highlights the multidisciplinary and cooperative nature of the project, emphasizing the interplay between different modeling approaches, numerical methods, and experimental practices. By jointly developing, testing, and validating these models, the research units form a cohesive network aimed at implementing innovative numerical tools for gear transmission design and optimization.
According to the proposal, the research activities (Figure 1) carried out were divided among 6 WPs: WP2 and WP3 devoted to the development of novel reduced order models; WP4 to extend the novel model in order to account for the related uncertainties; WP5 to the acoustic model; finally, WP6 to the experimental validation of the proposed approaches.

WP2 developed Pseudo-rigid multibody models (MUBOCOF-PR) to integrate the real geometries of gear bodies and teeth and extend the current planar model to a 3D model. The primary result was to model complex geometries and spatial phenomena (elasto-kinematic generalisation, friction modelling, defect/profile modification analysis). The first step was to extend the planar model to consider lightened gears (Figure 2).

Such generalisation allowed lightning to be considered by modulating the stiffness parameters to account for the effects of holes or thickness reductions. The results, under static and dynamic conditions presented in Figure 3, show a very good agreement with the FEM reference.

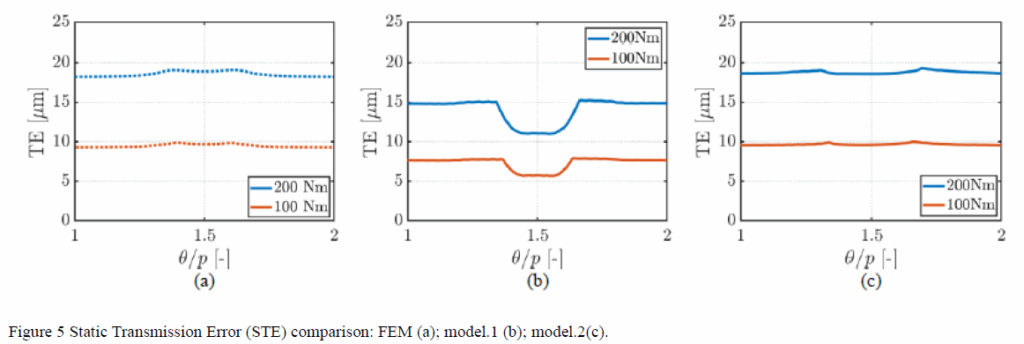
Moreover, in WP2 helical gears models were developed. To model gears with 3D contact, a pseudo-rigid multibody model was implemented based on two tooth-gear constraint mechanisms. Referring to Figure 4, in which the reference system of the joint is identified: the rh vector represents the radial vector, the nh vector is oriented along the axis of the tooth, and the th vector is orthogonal to the others, lying on the plane of action. The first developed Model.1 involved the positioning of a rotational joint oriented along nh, according to the helix angle, at which a torsional stiffness is positioned. Model.2 uses a spherical joint, with a stiffness matrix that includes rotational stiffness along the helix, radial torsional stiffness, and high stiffness perpendicular to the helix, constraining that degree of freedom to represent complex tooth deformations.

Compared to a FEM the revolute joint model resulted too rigid and did not accurately simulate the changes in load and strain in the teeth of helical gears. In contrast, the spherical-joint model (Figure 5c) allowed for a more accurate assessment of the load distribution

The same Model.2 has also been used to calculate the TE also in dynamic conditions (DTE) (Figure 6).

The activity of WP3 was devoted to the feasibility study and to the detailed development of an innovative approach to model the dynamic behavior of spur gears denoted as MUBOCO-F model.
The starting idea of MUBOCO-F was to adopt a multibody approach in which tooth flexibility is modelled through FEM models and governed by a very limited number of mode shapes and modal variables. In this way, both the advantages of the multibody approach (high level representation of the system, limited number of d.o.f., computational efficiency) and of the FEM method (distributed flexibility, accurate representation of tooth bending) are achieved (Figure 7).

The WP3 was devoted to two main efforts feasibility study and innovative model development.
The first “effort” was to implement and validate the devised approach through the commercial multibody tool Recurdyn (Figure 8 and Figure 9)


To this end, FEM analyses of gear were carried out, to assess static and modal properties of the considered teeth (Figure 10, Figure 11 and Figure 12. The selection of proper mode shapes has been guided by two main criteria: minimize the number of selected modes and guarantee that the tooth elastic displacements were compatible with the bending of the teeth under load. Comparison and similarity verification of normal modes and static modes were carried out through the Modal Assurance Criterion.



Specific aspects regarding contact modelling of tooth flanks were analyzed and the well-established and validated Johnson model was adopted. The model parameters were estimated and transformed into an explicit displacement-force relation to be implemented in Recurdyn. Model implementation, solution and analysis of results through Static and Dynamic Transmission Errors and final comparison with experimental results completed the first effort.
The second “effort” has been devoted to the development of an explicit mathematical dynamic model of the gearing, again within the multibody approach, with reduced basis representation of the tooth flexibility. Accordingly, Lagrange equations of the system were set up and thoroughly developed in order to obtain the explicit form of their main components: mass matrix, derivatives of mass matrix, generalize forces, all expressed as functions of the gear large rotations and of the small tooth modal coordinates (Figure 13).

An original formulation of the contact force algorithm, encompassing geometry variations due to tooth deformations, has been developed, with specific attention both to precision of contact detection and to computational efficiency. The same mode selection analyses and criteria discussed in the previous effort was adopted. The mathematical model of gearing dynamics and contact forces has been implemented within the MATLAB environment. Figure 14 and Figure 15 shows the model results in terms of STE and DTE.


WP4 developed a methodological framework for the integration of epistemic uncertainty into the simulation of gear transmission systems. When adopting reduced-order modeling strategies, such as pseudo-rigid multibody representations, simplifications are introduced to balance accuracy and computational cost. These simplifications inevitably induce epistemic uncertainties, arising from limited information about the physical system and from structural assumptions embedded in the model itself. Accurately capturing the effects of such uncertainties is essential to ensure that the reduced model remains predictive and reliable. Therefore, uncertainty analyses become crucial for ensuring the robustness of the MUBO models. WP4 introduced fuzzy logic as a formal mechanism to model and propagate uncertainty through multibody dynamics simulations.
The innovation lies in transforming conventional deterministic models into fuzzy dynamic systems, where key input parameters are defined as fuzzy numbers, capturing both variability and imprecision without relying on statistical distributions but considering the interactions between uncertain parameters by employing a multidimensional fuzzy representation. The approach was applied to the models developed in WP2 and WP3. As example, with reference to the MUBOCO-PR, the main source of uncertainty was related to the lumped value assumed by the rotational stiffness associated with each tooth and its geometrical position. In order to correctly model the overall mesh stiffness, the interdependence between these two parameters were considered.

Figure 16 and Figure 17 show the two-dimensional fuzzy parameter that was introduced to handle the related uncertainties, allowing the fuzzy model to predict both the STE and the DTE under varying operative conditions (Figure 18 and Figure 19). Similarly, Figure 20 shows the results applying the same methodology to the MUBOCO-F model developed in WP3.




In WP5 a methodology for the evaluation of the acoustic emission of gears was developed. Preliminary, a computational model for the acoustic emission of gears, focused on the high-frequency noise generated by meshing and its propagation was developed. The model integrates Multibody Flex dynamic simulations to determine node velocities on emissive surfaces then used to calculate the Equivalent Radiated Power (ERP). ERP, derived from transmitted vibrations and converted into pressure fluctuations, allows for comparative evaluation of designs, with initial validation correlating excitation sources to radiated sound power. Figure 21 shows the experimental acquisition and the numerical model used to validate the approach.

Subsequently a multi-objective optimisation method based on minimising the Sound Pressure Level (SPL) to improve noise and load distribution in the e-axles was developed. The methodology is divided into two sequential phases, both managed by the NSGA-II genetic algorithm. The first step optimises the macro-geometry to reduce initial computational costs. The second phase focuses on the micro-geometry of the teeth, using SPL and peak-to-peak transmission error (PPTE) as objective functions, with stress limits as constraints. Experimental validation Figure 22, conducted on e-axle prototypes (optimized and not) reported in Figure 23, confirmed a significant reduction in SPL in optimized configurations, demonstrating consistency between numerical predictions and experimental results.

Experimental validation has been conducted on 6 different pairs of gears here below labelled:
- Spur gears 34-55 (A2)
- Spur gears 34-55 (NLSN)
- Spur gears 31:31 (CAT1S)
- Spur gears 34:55 (CAT2S)
- Helical gears 34:55 (CAT1H)
- Helical gears 40:40 (CAT2H)
Tests have been run on a dedicated test bench available at PoliMi and shown in the Figure below.

The bench allowed for radial and angular misalignment, and the test campaign is summarized in the table below:

Each pair has been tested at different running speed (in the range 150-1000 RPM) and torque (in the range from 200 and 800 Nm at the driven gear). Shaft’s angular position during tests has been recorded with HEIDENHAIN RON 287 angular encoders and used to compute the Transmission Error of each test. TE values and statistic were computed for each test (Figure 25)

Finally, overall results of project were collected, as example Figure 26 shows the results for the 31:31 gear pair.

Scientific Oputput
Realizzazione di nuova strumentazione scientifica e/o di dispositivi avanzati (max 5.000 caratteri)
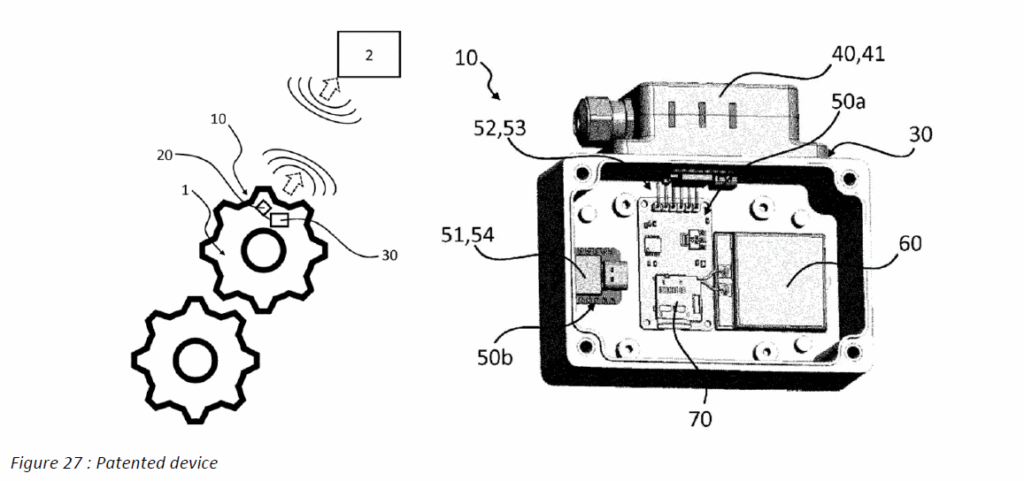
The PoliMi unit, in charge of the experimental workload, has developed a device, unforeseen at the time of the writing of the proposal, that has been built and validated within the project. As better detailed in the dedicated section of this report, the device is capable of measuring the strain at the tooth’s root of a spinning gear and sending data wirelessly to an external receiver. The device has been built, tested, and validated, and is represented in the picture below.

The sensor system is configured for application to a rotating gear wheel (1) and includes: one sensor device, which in this case was a strain gauge (20), a cable interface unit (40) configured for receiving the signal from the sensor, a first control unit (50a) configured for receiving signal from the cable interface unit, which further comprises a trigger module (52) configured for managing a plurality of data sets and for generating a second signal, a second control unit (50b) comprising a wireless transmission module (51) configured for wirelessly transmitting such second signal to an external operating unit. Since the device is designed to be installed in the proximity of the gear, and since is it also rotating with the shaft, it is powered by an internal battery. The device has been tested with the gear pair A2 also used for the present project, the picture below shows it once installed:

The following pictures show the two strain gauges installed on a tested wheel. After a first prototype, which was capable of measuring only one strain gauge at the time, a second, with doubled acquisition capability, has been developed.

The wires from the strain gauge are channeled through a small radial hole drilled on the shaft to its inner hollow section, and then out to the box, which rotates together with the shaft. In this configuration, the signal transmitted from the transmitter is clearly received, and if any maintenance operation had to be carried out, it was easy to operate. An example of the recorded strain is shown in the figure below.

The plot shows the strain recorded during tests ran at different applied torque and, as expected, the strain grows with the load. Furthermore, the system catches the asymmetrical behavior of the strain during engagement, as the compressive part (positive in the chart) is larger than the tensile one (negative in the chart).
Data is saved in a memory card installed onboard at high frequency, while also simultaneously sent to a mobile device, at a lower frequency, for real time monitoring.
The first prototype of the invention has been thus validated, and proved to deliver what it is designed for. The inventor expects to develop it further, as it still need some bug fixing and to improve reliability and signal stability, but the main system and components are defined.
Such tool was not expected at the moment of the writing of the proposal of this project, but when the opportunity arose, the researchers dedicated time and resources to its development.
The work in (“Dynamic analysis of lightweight gears through multibody models with movable teeth”), presented at the AIMETA conference, represents a direct contribution to the generalization of MUBOCOF-PR multibody models for lightened wheels.
In order to incorporate friction phenomena into the MUBOCOF-PR models for an efficiency assessment, preliminary analysis work was carried out on the friction formulations in multibody models. The integration of accurate friction formulations in the multibody models developed in WP2 is essential for estimating power losses.
The consideration of profile modifications, a fundamental aspect of real geometries to optimize performance, has been extensively explored in [1] (“The effect of different profile modifications on the static and dynamic transmission error of spur gears”) and [3] (“Influence of profile modifications on spur gear sliding power losses: An integrated approach with advanced mesh stiffness and partial EHL”). These studies, through the use of simplified models, enhance the aspects of both planar and three-dimensional profile changes on the dynamics of the system. The use of reduced models highlights limitations on modeling, highlighting how MUBOCOF-PRs can be used to analyze the impact of such changes on transmission error and frictional power losses.
In the presentation at the ECCOMAS 2025 conference [10] (“Multi-Body Pseudo-Rigid Modeling of Helical Gears”) results of significant importance are reported, as it focuses directly on the development of the MUBOCOF-PR model for helical gears. This significantly extends the model’s ability to handle complex non-planar geometries and analyze 3D meshing.
Finally, in the work [4] (Multi-Objective Optimization of Gear Design of E-Axles to Improve Noise Emission and Load Distribution) it is highlighted how the model for evaluating the level of acoustics in an electric axle is adopted within an optimization process aimed at minimizing the effect of gear noise.
In WP3 [11-13], as verified during the progress of the first “effort”, model solution through Recurdyn, in particular for the DTE analyses, is rather costly from a computational point of view. This aspect was the focus of the development of the explicit customized mathematical model carried out in the second “effort”: the new mathematical model, that can be considered a major research achievement, comprises: a) the dynamic equations of a gearing system, their mass matrices and derivatives, the generalized forces and their formal exploitation in order to advance the computational efficiency in their numerical solution; b) a novel contact force formulation, with specific attention to the geometry problem, for evolute gear profiles subject to profile modification due to bending; the contact approach has been validated with respect to known geometric conditions and has shown very high precision (tolerance < 1e-7m) and high computational speed in term of contact detection.
Dynamic and contact models have been implemented in a specific MATLAB tool (called GSIM) that has been debugged, tuned and applied to the same gear analysis cases solved with Recurdyn. The analysis of the KPIs (STE and DTE) have shown good agreement with available numerical and experimental results, thereby validating both the mathematical development (dynamic and contact) and its software implementation (GSIM). The computational efficiency of GSIM, in term of solution times, with respect to Recurdyn, is of the order of 5-10 times faster, in particular for the very complex DTE transitory analyses.
So, in conclusion, the main attained scientific results by the University of Genoa Research Unit are:
– validation of the MUBOCO-F idea and approach through a leading multibody commercial code (FunctionBay Recurdyn)
– development of an innovative explicit mathematical model implementing the dynamic equations underlying the MUBOCO-F approach
– development of an innovative explicit mathematical model spur gear contact, with specific features to deal with geometric interference detection of flanks with profile modifications due to the tooth deflections
– implementation, debugging, testing and validation of a computationally efficient software tool (GSIM) for the analysis of spur gear dynamics, comprising both the novel dynamic equations and the innovative contact algorithm.
Finally, in WP4 [7-9] the uncertainties related to the model simplifications introduced are modeled as multidimensional fuzzy number allowing a more robust assessment of the transmission error in both static and dynamics conditions.